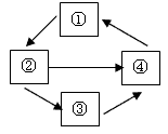
读下图地壳物质循环分析 下列叙述正确的是[ ]A ①是沉积岩 B ②是岩浆岩 C ③是变质岩
读下图地壳物质循环分析,下列叙述正确的是![]() |
[ ] |
A、①是沉积岩 B、②是岩浆岩 C、③是变质岩 D、④是岩浆 |
参考解答
B |
相似问题
金刚石 石英 花岗岩 大理岩 石灰岩 石英岩等矿物 岩石已走进我们的生活 回答1—2题。 1 自然界
金刚石、石英、花岗岩、大理岩、石灰岩、石英岩等矿物、岩石已走进我们的生活,回答1—2题。 1、自然界中最多的矿物是 [ ]A、云母 B、方解石 C、石
在下面地壳物质循环示意图中 字母表示各种岩石和地壳物质循环的过程。读图 回答下列问题。 (1)字母d
在下面地壳物质循环示意图中,字母表示各种岩石和地壳物质循环的过程。读图,回答下列问题。 (1)字母d、e、f、g中,表示冷凝作用的是___,表示重熔再
我国南方城市分布的一般规律是( )A.沿铁路设城B.沿公路设城C.沿河流设城D.在山地关隘处设城
我国南方城市分布的一般规律是()A.沿铁路设城B.沿公路设城C.沿河流设城D.在山地关隘处设城
读图甲和图乙 图甲中著名的古代建筑由白色大理石筑成。回答(1)——(3)题。 (1)大理石[
读图甲和图乙,图甲中著名的古代建筑由白色大理石筑成。回答(1)——(3)题。 (1)大理石[ ] A、因变质作用而形成 B、按成因属于岩浆岩 C、
下图为“某地地质构造简图” 读图回答1—2题。 1 图中岩层最晚形成的可能是[ ]A ①③
下图为“某地地质构造简图”,读图回答1—2题。 1、图中岩层最晚形成的可能是[ ]A、①③ B、①④ C、③④ D、②③ 2、图中岩层可能含有生物化石的
