读“地壳物质循环简略示意图” 完成32~33题。小题1:有关地壳物质循环的叙述 错误的是A.各类岩石
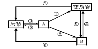
读“地壳物质循环简略示意图”,完成32~33题。![]() 小题1:有关地壳物质循环的叙述,错误的是
|
参考解答
小题1:B 小题2:D |
小题1:各类岩石先形成岩浆,才能形成岩浆岩。错误的是B。 小题2:图中A为岩浆岩,B为沉积岩。①④是变质作用;⑤⑦⑧为重熔再生;⑥为冷却凝固;②③为外力作用。有化石存在的岩石为沉积岩。 |
相似问题
一般认为岩浆的发源地在:A.地壳上部的硅铝层B.地壳下部的硅镁层C.上地幔上部的软流层D.岩石圈中部
一般认为岩浆的发源地在:A.地壳上部的硅铝层B.地壳下部的硅镁层C.上地幔上部的软流层D.岩石圈中部
读下列地质构造示意图 回答问题。(12分)小题1:从图中岩层形态看 A处地质构造为 它是
读下列地质构造示意图,回答问题。(12分)小题1:从图中岩层形态看,A处地质构造为 ,它是良好的储 构造,其地形成因是
图左侧为沿海某地区等高线图 右侧是以300°视角分别从A B C D四点俯看本区的网面立体图。读图完
图左侧为沿海某地区等高线图,右侧是以300°视角分别从A、B、C、D四点俯看本区的网面立体图。读图完成5题。该图等高线图中A、B、C、D四个观测点所见到的
下列有关山岳对交通运输影响的说法 正确的是( )A.山岳地形对交通运输的影响较小B.在山岳地区 通
下列有关山岳对交通运输影响的说法,正确的是( )A.山岳地形对交通运输的影响较小B.在山岳地区,通常会把线路地址选在地势相对和缓的山间盆地和河
读岩石圈物质循环图 下列说法正确的是A.大理岩的成因与岩石E相同B.岩石B可能含有化石C.⑤作用的能
读岩石圈物质循环图,下列说法正确的是A.大理岩的成因与岩石E相同B.岩石B可能含有化石C.⑤作用的能量来自太阳辐射D.③只有搬运作用
