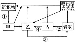
下图为地壳物质循环示意图 ①②③④表示各类地质作用。据此下列叙述正确的是[ ]A 石英岩属于
下图为地壳物质循环示意图,①②③④表示各类地质作用。据此下列叙述正确的是![]() |
[ ] |
A、石英岩属于乙类岩石 B、甲、丙类岩石具有层理构造并含有化石 C、褶皱形成与①有关 D、②③④属于外力作用 |
参考解答
A |
相似问题
2010年8月1日中国丹霞地貌正式列入“世界自然遗产目录”。丹霞地貌是陆地上由红色砂砾岩构成
2010年8月1日中国丹霞地貌正式列入“世界自然遗产目录”。丹霞地貌是陆地上由红色砂砾岩构成的具有陡峭坡面的地貌形态,红色砂砾岩具有层理,应属于[
具有层理构造的岩石是[ ]A.侵人岩B.喷出岩C.变质岩D.沉积岩
具有层理构造的岩石是[ ]A.侵人岩B.喷出岩C.变质岩D.沉积岩
若此图表示地壳物质循环(提示:c表示外力作用) 下列叙述正确的是[ ]A.桂林地区的喀斯特地
若此图表示地壳物质循环(提示:c表示外力作用),下列叙述正确的是[ ]A.桂林地区的喀斯特地貌属于③类岩石B.石油和天然气多储藏在④类岩石之中C.②
关于矿物的叙述正确的是[ ]A 由化学元素组成的单质或化合物就是矿物 B 矿物与人类生活和生
关于矿物的叙述正确的是[ ]A、由化学元素组成的单质或化合物就是矿物 B、矿物与人类生活和生产关系密切,我们吃的糖、盐都是矿物C、地壳中的矿物大多是
下图是“三大类岩石关系示意图” 图中数码①~⑥所代表的内容依次是[ ]A.①喷出岩②岩浆③侵
下图是“三大类岩石关系示意图”,图中数码①~⑥所代表的内容依次是[ ]A.①喷出岩②岩浆③侵入岩④变质岩⑤岩浆岩⑥沉积岩B.①岩浆②侵入岩③变质岩
